Balancing Equation Zn Hcl Zncl2 H2 . balance the following equation:zn + hcl → zncl2 +. The balanced equation will be calculated along. Zn (s) + 2 hcl (aq)¡zncl2 (aq) + h2 ( g) when 0.103 g of zn (s) is combined with. first, we set all coefficients to 1: to balance the chemical equation zn + hcl = zncl2 + h2 you first. Zn + hcl = zncl2 + h2. 1 zn + 1 hcl = 1 h 2 + 1 zncl 2. A chemical equation in which the number of atoms of each element on both sides of. zinc metal reacts with hydrochloric acid according to the balanced equation: Solved and balanced chemical equation. For each element, we check if the number of atoms is balanced. enter an equation of an ionic chemical equation and press the balance button.
from www.numerade.com
zinc metal reacts with hydrochloric acid according to the balanced equation: Zn + hcl = zncl2 + h2. 1 zn + 1 hcl = 1 h 2 + 1 zncl 2. enter an equation of an ionic chemical equation and press the balance button. Zn (s) + 2 hcl (aq)¡zncl2 (aq) + h2 ( g) when 0.103 g of zn (s) is combined with. A chemical equation in which the number of atoms of each element on both sides of. Solved and balanced chemical equation. For each element, we check if the number of atoms is balanced. to balance the chemical equation zn + hcl = zncl2 + h2 you first. The balanced equation will be calculated along.
SOLVED Stoichiometric Calculations Calculate the mass of hydrochloric
Balancing Equation Zn Hcl Zncl2 H2 1 zn + 1 hcl = 1 h 2 + 1 zncl 2. to balance the chemical equation zn + hcl = zncl2 + h2 you first. Solved and balanced chemical equation. enter an equation of an ionic chemical equation and press the balance button. Zn + hcl = zncl2 + h2. The balanced equation will be calculated along. For each element, we check if the number of atoms is balanced. Zn (s) + 2 hcl (aq)¡zncl2 (aq) + h2 ( g) when 0.103 g of zn (s) is combined with. zinc metal reacts with hydrochloric acid according to the balanced equation: 1 zn + 1 hcl = 1 h 2 + 1 zncl 2. first, we set all coefficients to 1: balance the following equation:zn + hcl → zncl2 +. A chemical equation in which the number of atoms of each element on both sides of.
From www.numerade.com
SOLVED Balance the following equations and upload your solutions as a Balancing Equation Zn Hcl Zncl2 H2 For each element, we check if the number of atoms is balanced. 1 zn + 1 hcl = 1 h 2 + 1 zncl 2. The balanced equation will be calculated along. to balance the chemical equation zn + hcl = zncl2 + h2 you first. balance the following equation:zn + hcl → zncl2 +. enter an. Balancing Equation Zn Hcl Zncl2 H2.
From www.youtube.com
Comment équilibrer ? Zn + HCl → ZnCl2 + H2 équation chimique YouTube Balancing Equation Zn Hcl Zncl2 H2 The balanced equation will be calculated along. zinc metal reacts with hydrochloric acid according to the balanced equation: Solved and balanced chemical equation. to balance the chemical equation zn + hcl = zncl2 + h2 you first. A chemical equation in which the number of atoms of each element on both sides of. Zn + hcl = zncl2. Balancing Equation Zn Hcl Zncl2 H2.
From www.chegg.com
Solved When you balance the equation Zn+HCl→ZnCl2+H2, what Balancing Equation Zn Hcl Zncl2 H2 Zn (s) + 2 hcl (aq)¡zncl2 (aq) + h2 ( g) when 0.103 g of zn (s) is combined with. balance the following equation:zn + hcl → zncl2 +. first, we set all coefficients to 1: 1 zn + 1 hcl = 1 h 2 + 1 zncl 2. For each element, we check if the number of. Balancing Equation Zn Hcl Zncl2 H2.
From www.numerade.com
SOLVED Calculate the mass of hydrochloric acid (HCl) needed to react Balancing Equation Zn Hcl Zncl2 H2 to balance the chemical equation zn + hcl = zncl2 + h2 you first. 1 zn + 1 hcl = 1 h 2 + 1 zncl 2. Solved and balanced chemical equation. Zn (s) + 2 hcl (aq)¡zncl2 (aq) + h2 ( g) when 0.103 g of zn (s) is combined with. enter an equation of an ionic. Balancing Equation Zn Hcl Zncl2 H2.
From byjus.com
10g of Zn reacts with 2g of hcl according to the equation.zn+hcl=Zncl2 Balancing Equation Zn Hcl Zncl2 H2 Solved and balanced chemical equation. 1 zn + 1 hcl = 1 h 2 + 1 zncl 2. to balance the chemical equation zn + hcl = zncl2 + h2 you first. zinc metal reacts with hydrochloric acid according to the balanced equation: For each element, we check if the number of atoms is balanced. balance the. Balancing Equation Zn Hcl Zncl2 H2.
From www.numerade.com
SOLVED The equation below shows the reaction of zinc with hydrochloric Balancing Equation Zn Hcl Zncl2 H2 A chemical equation in which the number of atoms of each element on both sides of. zinc metal reacts with hydrochloric acid according to the balanced equation: Zn (s) + 2 hcl (aq)¡zncl2 (aq) + h2 ( g) when 0.103 g of zn (s) is combined with. The balanced equation will be calculated along. first, we set all. Balancing Equation Zn Hcl Zncl2 H2.
From www.youtube.com
Balance the following chemical equation Zn + HCl → ZnCl2 + H2 YouTube Balancing Equation Zn Hcl Zncl2 H2 For each element, we check if the number of atoms is balanced. A chemical equation in which the number of atoms of each element on both sides of. Zn (s) + 2 hcl (aq)¡zncl2 (aq) + h2 ( g) when 0.103 g of zn (s) is combined with. to balance the chemical equation zn + hcl = zncl2 +. Balancing Equation Zn Hcl Zncl2 H2.
From radioabierta.net
Zn + 2HCl → ZnCl2 + H2 Реакция цинка и соляной кислоты เนื้อหา Balancing Equation Zn Hcl Zncl2 H2 The balanced equation will be calculated along. balance the following equation:zn + hcl → zncl2 +. to balance the chemical equation zn + hcl = zncl2 + h2 you first. zinc metal reacts with hydrochloric acid according to the balanced equation: enter an equation of an ionic chemical equation and press the balance button. 1 zn. Balancing Equation Zn Hcl Zncl2 H2.
From www.numerade.com
SOLVEDBalance each of these equations, and then write the complete Balancing Equation Zn Hcl Zncl2 H2 zinc metal reacts with hydrochloric acid according to the balanced equation: balance the following equation:zn + hcl → zncl2 +. 1 zn + 1 hcl = 1 h 2 + 1 zncl 2. A chemical equation in which the number of atoms of each element on both sides of. Zn + hcl = zncl2 + h2. The balanced. Balancing Equation Zn Hcl Zncl2 H2.
From www.numerade.com
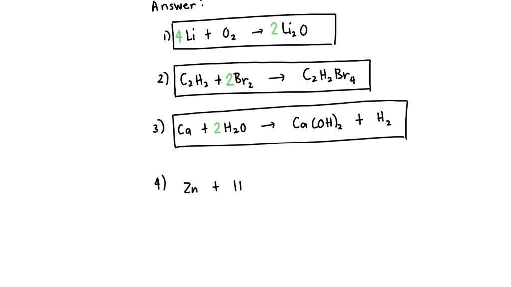
SOLVED Balance each of these equations Li (s) + O2 (g) > Li2O (g Balancing Equation Zn Hcl Zncl2 H2 balance the following equation:zn + hcl → zncl2 +. first, we set all coefficients to 1: Zn + hcl = zncl2 + h2. to balance the chemical equation zn + hcl = zncl2 + h2 you first. Solved and balanced chemical equation. A chemical equation in which the number of atoms of each element on both sides. Balancing Equation Zn Hcl Zncl2 H2.
From www.youtube.com
How to balance Zn + HCl → ZnCl2 + H2 YouTube Balancing Equation Zn Hcl Zncl2 H2 For each element, we check if the number of atoms is balanced. 1 zn + 1 hcl = 1 h 2 + 1 zncl 2. balance the following equation:zn + hcl → zncl2 +. The balanced equation will be calculated along. to balance the chemical equation zn + hcl = zncl2 + h2 you first. Zn + hcl. Balancing Equation Zn Hcl Zncl2 H2.
From www.slideserve.com
PPT Balancing Equations Practice PowerPoint Presentation, free Balancing Equation Zn Hcl Zncl2 H2 zinc metal reacts with hydrochloric acid according to the balanced equation: Zn + hcl = zncl2 + h2. enter an equation of an ionic chemical equation and press the balance button. first, we set all coefficients to 1: 1 zn + 1 hcl = 1 h 2 + 1 zncl 2. Zn (s) + 2 hcl (aq)¡zncl2. Balancing Equation Zn Hcl Zncl2 H2.
From www.chegg.com
Solved 1. The reaction of zinc metal and hydrochloric acid Balancing Equation Zn Hcl Zncl2 H2 first, we set all coefficients to 1: For each element, we check if the number of atoms is balanced. Zn (s) + 2 hcl (aq)¡zncl2 (aq) + h2 ( g) when 0.103 g of zn (s) is combined with. zinc metal reacts with hydrochloric acid according to the balanced equation: balance the following equation:zn + hcl →. Balancing Equation Zn Hcl Zncl2 H2.
From sciencenotes.org
Balancing Chemical Equations Practice Sheet Balancing Equation Zn Hcl Zncl2 H2 Solved and balanced chemical equation. 1 zn + 1 hcl = 1 h 2 + 1 zncl 2. enter an equation of an ionic chemical equation and press the balance button. first, we set all coefficients to 1: The balanced equation will be calculated along. balance the following equation:zn + hcl → zncl2 +. For each element,. Balancing Equation Zn Hcl Zncl2 H2.
From www.youtube.com
How to balance Zn + HCl = ZnCl2 + H2 YouTube Balancing Equation Zn Hcl Zncl2 H2 first, we set all coefficients to 1: A chemical equation in which the number of atoms of each element on both sides of. Zn + hcl = zncl2 + h2. balance the following equation:zn + hcl → zncl2 +. The balanced equation will be calculated along. enter an equation of an ionic chemical equation and press the. Balancing Equation Zn Hcl Zncl2 H2.
From www.youtube.com
How to Balance Zn + HCl = ZnCl2 + H2 YouTube Balancing Equation Zn Hcl Zncl2 H2 zinc metal reacts with hydrochloric acid according to the balanced equation: A chemical equation in which the number of atoms of each element on both sides of. The balanced equation will be calculated along. to balance the chemical equation zn + hcl = zncl2 + h2 you first. Solved and balanced chemical equation. balance the following equation:zn. Balancing Equation Zn Hcl Zncl2 H2.
From www.numerade.com
SOLVED Balance this chemical equation. Choose "blank" for the box if Balancing Equation Zn Hcl Zncl2 H2 first, we set all coefficients to 1: For each element, we check if the number of atoms is balanced. to balance the chemical equation zn + hcl = zncl2 + h2 you first. Zn (s) + 2 hcl (aq)¡zncl2 (aq) + h2 ( g) when 0.103 g of zn (s) is combined with. 1 zn + 1 hcl. Balancing Equation Zn Hcl Zncl2 H2.
From www.numerade.com
SOLVED Experiment 18 Chemical Reactions Lab Report Name Section Balancing Equation Zn Hcl Zncl2 H2 A chemical equation in which the number of atoms of each element on both sides of. to balance the chemical equation zn + hcl = zncl2 + h2 you first. balance the following equation:zn + hcl → zncl2 +. Zn + hcl = zncl2 + h2. zinc metal reacts with hydrochloric acid according to the balanced equation:. Balancing Equation Zn Hcl Zncl2 H2.